Using OneNote to Write Equations [Repost from my UT Blog]
Using a computer to take notes in math-based classes can be difficult, due to the issues with writing equations using a keyboard. Microsoft’s OneNote has a built in tool to write equations, but many of its features can only be used by using barely documented keyboard shortcuts. Here is my guide on using the equation editor:
- Press “Alt” and the “=” keys to bring up the equation editor.

- Now you can write simple fractions and equations, like a/b+c_1+c^7-d[ad]=e^t^(ab), which becomes:
![a/b+c_1+c^7-d[ad]=e^t^(ab)](Annotation-2019-03-28-151340.png)
- Note: The expressions are evaluated after you enter a space.
- However, it can be very helpful to use other symbols not on your keyboard. It seems that OneNote has a simple implementation of most of the LaTeX symbols, see here. This means that you can use simple expressions to use Greek letters and many relation symbols commonly used in math/physics.
- For an example: (\alpha * \beta *\inc )/(\bowtie * \delta *\sigma) becomes:

Matrices
- OneNote also has the ability to create matrices using these steps:
- Pull up the equation editor as described above.
- Optional: Type an opening bracket/brace, I like to use a “[” for matrices.
- Then it is: \matrix(a&b&c@d&e&f@g&h&i) to create the matrix, and an optional closing delimiter, “]” in my case.

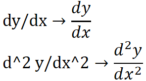
Derivatives
- For normal derivatives, there are no special commands:

- But for partial derivatives, \partial makes the partial derivative symbol

Integral
- The command for integral is \int

- There are a few tricks to make the spacing correct
- Make sure to hit the space twice after indefinite integrals, to make sure you are inside the integral:

As well, use the right arrow key to exit the inside of the integral to write dx
